排列组合中的顺序就是指,只考虑整体中的几个元素,它们的先后顺序,而不管它们在整体中的顺序。比如对于abcde这五个字母,如果要求a与b的相对顺序是a在b之前,那么只要a排在b的前面就行了,至于a在这五个字母中的第几个,b在第几个,是无所谓的。
所谓排列,就是指从给定个数的元素中取出指定个数的元素进行排序。组合则是指从给定个数的元素中仅仅取出指定个数的元素,不考虑排序。
排列组合的中心问题是研究给定要求的排列和组合可能出现的情况总数。 排列组合与古典概率论关系密切。

扩展资料:
从n个不同元素中,任取m(m≤n,m与n均为自然数,下同)个元素按照一定的顺序排成一列,叫做从n个不同元素中取出m个元素的一个排列;从n个不同元素中取出m(m≤n)个元素的所有排列的个数,叫做从n个不同元素中取出m个元素的排列数,用符号 A(n,m)表示。
计算公式:

此外规定0!=1(n!表示n(n-1)(n-2)...1,也就是6!=6x5x4x3x2x1
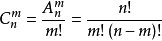
组合的定义:从n个不同元素中,任取m(m≤n)个元素并成一组,叫做从n个不同元素中取出m个元素的一个组合;从n个不同元素中取出m(m≤n)个元素的所有组合的个数,叫做从n个不同元素中取出m个元素的组合数。用符号 C(n,m) 表示。
计算公式:
;C(n,m)=C(n,n-m)。(n≥m)
其他排列与组合公式 从n个元素中取出m个元素的循环排列数=A(n,m)/m=n!/m(n-m)!. n个元素被分成k类,每类的个数分别是n1,n2,...nk这n个元素的全排列数为 n!/(n1!×n2!×...×nk!). k类元素,每类的个数无限,从中取出m个元素的组合数为C(m+k-1,m)。
参考资料来源:百度百科——排列组合
