等差数列前N项和公式:
①Sn=n*a1+n(n-1)d/2
②Sn=n(a1+an)/2
Sn代表项数之和,n代表项数,a1代表数列的第一项,an代表数列的最后一项,d代表数列的公差。
性质:
⑴数列为等差数列的重要条件是:数列的前n项和S 可以写成S = an^2 + bn的形式(其中a、b为常数).
⑵在等差数列中,当项数为2n (n∈ N+)时,S偶-S奇 = nd,S奇÷S偶=an÷a(n+1) ;当项数为(2n-1)(n∈ N+)时,S奇—S偶=a中 ,S奇÷S偶 =n÷(n-1).
⑶若数列为等差数列,则S n,S2n -Sn ,S3n -S 2n,…仍然成等差数列,公差为k^2d .
(4)若数列{an}与{bn}均为等差数列,且前n项和分别是Sn和Tn,则am/bm=S2m-1/T2m-1.
⑸在等差数列中,S = a,S = b (n>m),则S = (a-b).
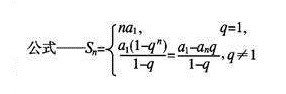
2. 等比数列前N项和公式:

Sn代表项数之和,n代表项数,a1代表数列的第一项,an代表数列的最后一项,q代表数列的公比。
性质:
①若 m、n、p、q∈N,且m+n=p+q,则aman=apaq;
②在等比数列中,依次每 k项之和仍成等比数列;
③若m、n、q∈N,且m+n=2q,则am×an=(aq)^2;
④ 若G是a、b的等比中项,则G2=ab(G ≠ 0);
⑤在等比数列中,首项a1与公比q都不为零.
⑥在数列{an}中每隔k(k∈N*)取出一项,按原来顺序排列,所得新数列仍为等比数列且公比为qk+1
⑦当数列{an}使各项都为正数的等比数列,数列{lgan}是lgq的等差数列。
