常用产品铜导体电阻参照表如下:

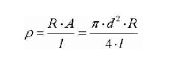
铜线的电阻可以根据公式电阻=电阻率乘以长度/横截面积,只要从相关资料上查到铜导线的电阻率就可以算出电阻值了!铜的电阻率在20和100摄氏度的时候,电阻率分别在0.0175和0.0228。铜线的质量=密度乘以体积(体积=横截面积乘以长度,铜的密度8.9g/c3)长度为/的铜线电阻R的计算公式如下:

其中:
R是导体电阻,单位:欧姆
L是导体长度,单位:米
ρ是导体电阻率(又称比电阻)
A是截面积,单位:平方毫米
T是常数
d是线材标称直径,单位:毫米
电阻率ρ:
电阻率(又称比电阻)是衡量导体对电流阻碍作用强弱的物理量。电阻率越低,电荷越容易通过导体。铜线的电阻率跟温度有关系。

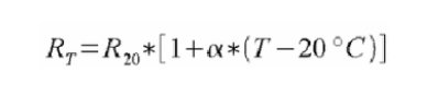
电阻温度系数:
线材电阻取决于所处的环境温度,电阻和温度的关系可用电阻温度系数ā来表示。在温度T时,线圈电阻或线材电阻的计算公式如下:

其中:
α是电阻温度系数
R是温度T时的线圈或线材电阻
R20是温度20C时的线圈或线材电阻
