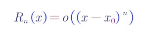
如果函数f(x)在x0处具有 n 阶导数,那么存在x0的一个邻域,对于该邻域内的任一x,有

其中

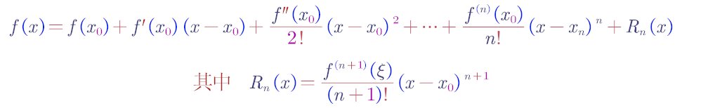
如果函数f(x)在x0的某个邻域U(x)内具有(n +1)阶导数,那么对任一 x∈ U(x0),有

这里ξ是x0与x之间的某个值.
(内容来自同济大学高等数学上册)
如果函数f(x)在x0处具有 n 阶导数,那么存在x0的一个邻域,对于该邻域内的任一x,有

其中

如果函数f(x)在x0的某个邻域U(x)内具有(n +1)阶导数,那么对任一 x∈ U(x0),有

这里ξ是x0与x之间的某个值.
(内容来自同济大学高等数学上册)