积分电路和微分电路在波形产生及变换电路中用的很广,简单的积分电路和微分电路只有一个电阻和电容即可构成。下面我们来介绍一下积分电路和微分电路的基本工作原理及用途。
1、积分电路

▲ 积分电路及波形图。上图是一个采用电阻和电容构成的简单的积分电路,其在各种波形变换电路中用的很广,该电路可以将输入端的方波信号(可由方波发生器产生)转为三角波或斜波并从电容C1两端输出。积分电路的积分时间常数τ=R1C1,R1和C1的取值很重要,一般只有在积分时间常数τ≥10倍输入脉冲宽度时上述的阻容电路才是积分电路,才可以实现积分功能。
上图中,假设输入信号为方波,并且积分时间常数大于输入脉冲宽度,在方波信号的正半周时,通过R1对C1充电,C1两端的电压逐渐增大;输入方波的负半周时,C1通过R1放电,C1两端电压又开始下降,波形如上图所示。上述这种简单的积分电路只在充电曲线的初始部分,输出电压与输入波形的时间间隔成线性关系,随着时间的增加,积分误差将逐渐增大,故一些要求较高的积分电路常采用运算放大器来设计。

▲ 运算放大器构成的积分电路。
上图所示的积分电路采用运算放大器设计,其积分运算精度及带负载能力皆显著优于阻容分立元件构成的积分电路。
2、微分电路

▲ 微分电路及波形图。微分是积分的逆运算,故将积分电路中的电阻和电容位置调换一下即可构成微分电路。阻容微分电路看起来与阻容耦合电路差不多,它们的区别就是电阻和电容的取值不同。只有微分时间常数τ≤10倍输入脉冲宽度时,这种阻容电路才是微分电路。若电路的时间常数远大于输入脉冲宽度,电路将成为阻容耦合电路。
微分电路可以将方波信号转为尖脉冲(微分电路的输出波形如上图所示),这在各种脉冲触发及控制电路中很常用。譬如数字电路中各种触发器的触发与复位,就经常采用这种简单的阻容微分电路来产生正负触发脉冲。
若想了解更多的电子电路及元器件知识,请关注本头条号,谢谢。
什么是积分电路和微分电路?
●微分电路和积分电路是电子电路中PID应用非常广泛的一种电路。按照输出电压与输入电压成微分关系的电路为微分电路,通常由电容和电阻组成;输出电压与输入电压成积分关系的电路为积分电路,通常由电阻和电容组成。广泛用于计算机、自动控制和电子仪器中。

●PID自动控制电子电路是通过(RC或者CR)内部通过信号及运放电路进行自动调节。某种程度上微积分电路既有分开,也有合二为一的。
①P→在PID中的单一P称为比例带→在PlD调节中,自动输出控制量的大小与测量值和设定值之间的偏差成比例关系。
②I→积分时间→积分运算的目的是为了消除“静态误差”,只要偏差存在,积分作用就是将控制量向使偏差消除的方向移动,积分时间是表示积分的强度的单位,温控器设定的积分时间越短,它的积分作用越强。
③D→微分时间→积分的作用是对控制的结果的修正,动作响应速度较慢,微分的作用恰恰是为了消除积分的缺点而补充,微分作用是根据偏差产生的速度对输出量进行修正,使控制过程中尽快回到原来的控制状态,微分时间表示微分的强度单位,温控仪表设定的微分时间越长,表示仪表的微分作用对控制量的修正越强。

●上图为比例积分微分调节器电路。其中,比例微分调节器可提高控制系统的稳定裕度,并获得足够的快速性,但稳态精度可能受到影响。比例积分调节器可以保证控制系统的稳态精度,却是以对快速性的限制来换取系统稳定的。上图所示为比例积分微分调节器,又称PID调节器,则兼有两者的优点,可以全面提高系统的控制性能,但线路及其调试要复杂一些。比例积分微分调节器的传递函数为:
uo=-(Rf/R1×ui+C1/Cf×ui+RfC1*dui/dt+1/R1Cf∫uidt)
式中第一、二项表示比例运算,第三项表示微分运算,第四项表示积分运算。PID调节器的输出特性如上图b所示。在常规调节中比例、积分通常用来提高调节精度, 而微分则用来加速过渡过程。
积分电路和微分电路其实都是由简单的电阻与电容组成的,它也是构成脉冲电路的一部分。积分电路可以说已经广泛应用在电子技术、家用电器电路、自动控制以及计算机技术等领域。

积分电路和者微分电路工作原理
积分电路
实际上积分电路就是由电阻和电容构成的,但是这个电阻与电容的位置排放是有讲究的,不但如此其电阻和电容的大小都有一定范围的要求,否则就构不成积分电路的环节。从积分电路与微分电路比较来看积分电路是电阻在前电容在后且电容的一端接地,输出端是从电阻与电容的连接处引出,这是最简单的积分电路的构成。
积分电路的工作过程:当在积分电路输入端加一个矩形波脉冲时就会通过电阻R1给电容C1进行充电,由于电容两端的电压是不能够突变的,所以电容上的电压是缓慢的上升;当矩形波脉冲消失时充满电的电容两端的电压就会通过电阻R1进行放电,由于电容或电阻比较大其放电也是缓慢下降,当下降到很低的电压时第二个脉冲出现了又对电容从新充电然后放电。就这样周而复始的在电容两端会出现一系列的三角波形。

微分电路
微分电路构成:微分电路从形式上看好似“孪生兄弟”长的极为相似,两者只是在位置上互换了一下。我们仔细一看它的输出电压是取自电阻的,根据电阻的性质我们可以推断其输出端的波形肯定是与积分电路的输出波形是不一样的。

微分电路的工作过程:为了能给朋友们说明问题,我们取一个脉冲周期来说明问题。当矩形脉冲加到微分电路输入端的瞬间的时候,还是由于电容两端的电压不能突变(这个特点很重要)这时给电容C充电的电流就会通过电阻R形成一个正向的尖脉冲;当脉冲跳变到低电平为零时,这是电容上充满了左正右负的电压开始对电容进行放电,放电的路径是从电阻的下端流向上端,从而在电阻上出现一个负的尖脉冲波形。
运放实现的积分或者微分电路
对要求波形要求严格的电路中有时也会用到运算放大器来实现微分或者积分电路。运用运放来实现微分电路和积分电路同样也需要电阻和电容的配合,只不过利用了运算放大器的“虚地”特性来实现的,其形式与电阻与电容组成简单“经典”的微、积分电路是类似的。

把微分电路中的电阻和电容位置对换一下就构成了积分电路。积分电路也非常广泛可作为显示器的扫描电路、模数转换电路等都可以见到。

微分电路和积分电路的总结
第一点:我们通过分析可以知道微分电路常用来把矩形波变成尖脉冲信号而积分电路常用来把矩形波信号变成三角波信号或者锯齿波信号。
第二点:在微分电路中电路的时间常数RC要小于输入矩形波的宽度,一般要求RC常数小于五分之一的矩形波的宽度就可以构成微分电路;在积分电路中电路的时间常数RC要远大于输入矩形波的宽度,一般要求RC常数大于三倍的矩形波的宽度就可以构成积分电路;
积分电路与微分电路的作用
我清楚的记得在以前在学习具有RCT射线管的黑白电视机或彩色电视机中关于场扫描电路中就用到了积分电路,通过积分电路来产生锯齿波通过摄像管对屏幕进行隔行扫描。在一些简单的信号发生器也会用到积分电路,如下图所示的那样。

以上就是我对这个问题的回答,欢迎朋友们参与讨论。敬请关注电子及工控技术,欢迎大家转载、点赞。
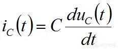
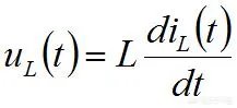
所谓积分电路和微分电路,是利用电抗元件微分形式的安-伏、伏-安特性来实现积分或微分运算的电路。
对于电容和电感,他们各自的遵循的欧姆定律表达式如下


由RC构成的低通滤波器就近似于一个积分器。为何说近似?在于随着电容的充电,Vout会上升,流过电阻的电流不再与Vin成正比,因此Vout就不是简单地对Vin关于时间积分

在上图中把电阻R和电容C对调一下,就成了高通滤波器,其特性就近似于一个微分器。
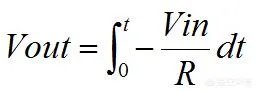
为了使得输出电压Vout是输入电压Vin的关于时间积分,就要让流过电阻的电流仅与输入电压有关,与输出电压无关。对此,可以用运放来实现

根据运放虚短虚断的特性,可以得

可见,此时输出电压是对输入电压关于时间求积分。相差的只是一个常数。同样,对于图中R、C对调后,就可以构成微分电路。
对于上图需要注意的是,通常,运放是不能开环工作的,但当上述积分器只是一个大负反馈环路中的一部分的时候,运放是可以不加负反馈的。
那么积分电路和微分电路有什么用呢?早期集成电路技术不发达的时候,有用模拟电路来实现计算的模拟计算机。比如飞机、火箭上常用惯性导航仪,惯导的两个核心传感器就是加速度计和陀螺仪,加速度计测量飞行器各个自由度上的加速度,陀螺仪测量飞行器各个自由度上的角速度。那么,对加速度关于时间求一次积分就得到速度,再求一次积分就得到路程。对角速度关于时间求一次积分,得到角度增量;关于角速度求一次微分,则得到角加速度。当然实际情况是飞行器在一个三维空间中运动,算法是非常复杂的。
在其他应用中还有比如在开关电源中实现三角波或锯齿波,以与反馈回来的信号进行比较,调节输出PWM波形的占空比。
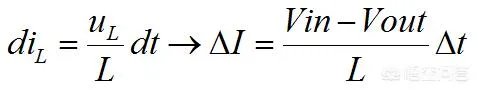
在下面再举一个电感作为积分器的例子。
在下图所示的bulk式开关电源中,为了计算方便,设输入为10V,输出为5V/12.5W,开关频率为100kHz,工作在电感电流连续的模式下。我们要计算此电路中电感上的电流纹波和输出电压的纹波电压。

计算:
第一步,认为纹波电压远小于输出电压,例如纹波电压只有50mV;
第二步,忽略MOS管和肖特基二极管的导通电压,并在第一步的假设下,可知当MOS管导通时,加在电感两端的电压是一个定值,则此时有

Vin-Vout为5V,占空比为50%,所以△t=5us,电感L为20uH,由此可计算得纹波电流为1.25A;
仿真图如下

可以看到电感上纹波电流是三角波,与计算是比较符合的。
第三步,计算输出纹波电压。因为负载2欧电阻上有电流约2.5A,因此在三角波形的电感纹波电流中,只有超过2.5A部分电流是会往电容中充电,往电容充电的电流峰值只有电感纹波电流峰峰值的一半,也就是0.625A,平均电流又要对0.625A取一半,只有0.3125A。而对电容充电的时间又是开关周期的一半,因此输出电容上的纹波电压计算如下

最后算得纹波电压15.6mV,而仿真曲线去下图

仿真得到的纹波电压是16mV基本上是准的。但实际从图中可以看出,输出电压并不是5V,而是5.6V。这是因为一方面,这里的MOS开关和肖特基二极管都是实际器件的模型,而不是我们理论设想中理想无缺的开关和二极管,第二个方面,此电路没有负反馈,它不会自动调节输出电压,但不影响我们对电路的定性分析与定量估算
