把二重积分化成二次积分,也就是把其中一个变量当成常量比如Y,然后只对一个变量积分,得到一个只含Y的被积函数,再对Y积分就行了。
题目积分区域中,x,y并不成函数关系,要是积分区域是由比如说1<=x<=2,y=f(x),y=g(x),所围成的话,那么就要先对y积分其中上下限就是f(x),g(x),要看谁的图形在上谁就是上限,这时候的x就当做一个常数来看待(只含有x的项可以像提出常数一样提到积分号外面来)。
这个第一次积分得到一个关于x的函数(这个结果是第二次积分的表达式),然后再对x积分,这时候上下限就是2和1。这样就得到积分值了。

扩展资料:
几何意义
在空间直角坐标系中,二重积分是各部分区域上柱体体积的代数和,在xoy平面上方的取正,在xoy平面下方的取负。某些特殊的被积函数f(x,y)的所表示的曲面和D底面所为围的曲顶柱体的体积公式已知,可以用二重积分的几何意义的来计算。
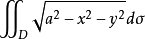
例如二重积分

其中

表示的是以上半球面为顶,半径为a的圆为底面的一个曲顶柱体,这个二重积分即为半球体的体积

参考资料:
高数叔:二重积分计算例题,看看吧
嗯,对,二重积分主要是积分区域的确定。其实可以画出积分区域的图像,然后将其划分为X,Y型区域,在计算,至于X,Y型区域,是二重积分中最基本的。楼主有什么不懂,可以问我
二重积分的计算其实是较为基本的。遇到积分算子dx时就只计算x 同理dy一样。
