1、梯形周长公式C=上底+下底+两个腰长
2、等腰梯形的周长公式:上底+下底+2腰
3、梯形面积公式:S=1/2(上底+下底)*高
4、梯形的面积公式: 中位线×高
5、对角线互相垂直的梯形面积为:对角线×对角线÷2
性质
1.等腰梯形的两条腰相等。
2.等腰梯形在同一底上的两个底角相等。
3.等腰梯形的两条对角线相等。
4.等腰梯形是轴对称图形,对称轴是上下底中点的连线所在直线(过两底中点的直线)。
判定
①两腰相等的梯形是等腰梯形;
②同一底上的两个角相等的梯形是等腰梯形;
③对角线相等的梯形是等腰梯形。

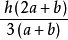
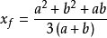
设直角梯形上边长为a,下边长为b,高为h,则:
1、其重心距离下底边b的高度为: 
2、其重心距离直角边的距离为: 
在直角梯形ABCD中,AD//BC,∠B=90°,则∠A=90°,∠C+∠D=180°。
重要性质:直角梯形斜腰的中点到直角腰的二端点距离相等。
扩展资料:
若一个三角形的三边a,b,c (
) 满足:
1、
,则这个三角形是锐角三角形;
2、
,则这个三角形是直角三角形;
3、
,则这个三角形是钝角三角形。
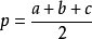
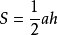
公式:
1、
(面积=底×高÷2。其中,a是三角形的底,h是底所对应的高)注释:三边均可为底,应理解为:三边与之对应的高的积的一半是三角形的面积。这是面积法求线段长度的基础。
2、
(其中,三个角为∠A,∠B,∠C,对边分别为a,b,c。参见三角函数)
3、
(l为高所在边中位线)
4、
(海伦公式),其中 
参考资料:百度百科——梯形
