【计算答案】

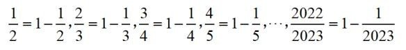
【计算思路】由于

所以原算式可以写成

再根据自然数的倒数之和的公式

接下来,该问题就可得到结果了。
【计算过程】解:

【本题知识点】
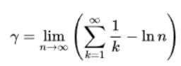
1、【欧拉常数】γ=0.577215664902138
2、【1+1/2+1/3+1/4+...+1/n= ln(n+1)+r(r为常量)的证明】
根据Newton(牛顿)的幂级数有:
ln(1+1/x) = 1/x - 1/2x² + 1/3x³ - ...
于是:
1/x = ln((x+1)/x) + 1/2x² - 1/3x³ + ...
代入x=1,2,...,n,就给出:
1/1 = ln(2) + 1/2 - 1/3 + 1/4 -1/5 + ...
1/2 = ln(3/2) + 1/2×4 - 1/3×8 + 1/4×16 - ...
......
1/n = ln((n+1)/n) + 1/2n² - 1/3n³ + ...
相加,就得到:
1+1/2+1/3+1/4+...1/n = ln(n+1) + 1/2×(1+1/4+1/9+...+1/n²) - 1/3×(1+1/8+1/27+...+1/n³) + ......
后面那一串和都是收敛的,我们可以定义
1+1/2+1/3+1/4+...1/n = ln(n+1) + r
Euler近似地计算了r的值,约为0.5772156649。这个数字就是后来称作的欧拉常数,其表达式为:

【matlab解】
s=0; %初始化
for i=1:2022
s=s+i/(i+1); %从1到2022累加
end
s %计算结果

