如图所示:

简单的说就是ln是以e为底的对数函数b=e^a等价于a=lnb。
自然对数以常数e为底数的对数。记作lnN(N>0)。在物理学,生物学等自然科学中有重要的意义。一般表示方法为lnx。数学中也常见以logx表示自然对数。若为了避免与基为10的常用对数lgx混淆,可用“全写”㏒ex。
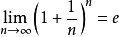
常数e的含义是单位时间内,持续的翻倍增长所能达到的极限值。
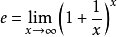
自然对数的底e是由一个重要极限给出的。我们定义:当n趋于无穷大时,
.e是一个无限不循环小数,其值约等于2.718281828459…,它是一个超越数。
扩展资料:
e对于自然数的特殊意义:
所有大于2的2n形式的偶数存在以
为中心的共轭奇数组,每一组的和均为2n,而且至少存在一组是共轭素数,可以说
是素数的中心轴,
只是奇数的中心轴。
自然常数的来法比圆周率简单多了。它就是当
时函数
值的极限。
即:
。
同时,它也等于
。注意,
。
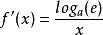
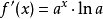
自然常数经常在公式中做对数的底。比如,对指数函数和对数函数求导时,就要使用自然常数。函数
的导数为
。函数
的导数为
。
因为e=2.7182818284... ,极为接近循环小数2.71828(1828循环),那就把循环小数化为分数271801/99990,所以可以用271801/99990表示为e最接近的有理数约率,精确度高达99.9999999(7个9)% 。
参考资料:百度百科——自然常数
参考资料:百度百科——自然对数
