展展与罗罗 - 沙漠骆驼
作词:展展与罗罗
作曲:展展与罗罗
编曲:展展与罗罗
我要穿越这片沙漠
找寻真的自我
身边只有一匹骆驼陪我
这片风儿吹过
那片云儿飘过
突然之间出现爱的小河
我跨上沙漠之舟
背上烟斗 和沙漏
手里还握着一壶烈酒
漫长古道悠悠
说不尽喜怒哀愁
只有那骆驼奔忙依旧
什么鬼魅传说
什么魑魅魍魉妖魔
只有那鹭鹰在幽幽的高歌
漫天黄沙掠过
走遍每个角落
行走在无尽的苍茫星河
白天黑夜交错
如此妖娆婀娜
蹉跎着岁月又蹉跎了自我
前方迷途太多
坚持才能洒脱
走出黑暗就能逍遥又快活
我寻找沙漠绿洲
出现海市蜃楼
我仿佛看到她在那里等候
想起了她的温柔
滚烫着我的胸口
迷失在昨夜的那壶老酒
我穿上大头皮鞋
跨过凛冽荒野
我仿佛穿越到另一个世界
阿拉丁神灯要倾斜
天堂地狱已然重叠
突然之间飞来一只蝴蝶
什么鬼魅传说
什么魑魅魍魉妖魔
只有那鹭鹰在幽幽的高歌
漫天黄沙掠过
走遍每个角落
行走在无尽的苍茫星河
白天黑夜交错
如此妖娆婀娜
蹉跎着岁月又蹉跎了自我
前方迷途太多
坚持才能洒脱
走出黑暗就能逍遥又快活
我已坠入在这神奇的国度
驼铃相伴走向圣堂之路
原谅我曾经恍惚陷入迷途
遮住了眼眸
湮没了意图
怎能被这样征服
什么鬼魅传说
什么魑魅魍魉妖魔
只有那鹭鹰在幽幽的高歌
漫天黄沙掠过
走遍每个角落
行走在无尽的苍茫星河
白天黑夜交错
如此妖娆婀娜
蹉跎着岁月又蹉跎了自我
前方迷途太多
坚持才能洒脱
走出黑暗就能逍遥又快活
梦里回到最初
浪潮起起伏伏
彷徨着未来又彷徨着孤独
漫长人生旅途
花开花落无数
沸腾的时光怎能被荒芜
清晨又到日暮
天边飞鸟群逐
摇曳着苍穹又描摹着黄土
东方鱼肚白出
烈日绽放吐露
放下尘浮我已踏上归途

歌名:《沙漠骆驼》
演唱:展展与罗罗
作词:展展与罗罗
作曲:展展与罗罗
歌词:
我要穿越这片沙漠, 找寻真的自我
身边只有, 一匹骆驼陪我
这片风儿吹过, 那片云儿飘过
突然之间, 出现爱的小河
我跨上沙漠之舟, 背上烟斗和沙漏
手里还握着一壶烈酒, 漫长古道悠悠
说不尽喜怒哀愁, 只有那骆驼
奔忙依旧, 什么鬼魅传说
什么魑魅魍魉妖魔, 只有那鹭鹰
在幽幽的高歌, 漫天黄沙掠过
走遍每个角落, 行走在无尽的
苍茫星河, 白天黑夜交错
如此妖娆婀娜, 蹉跎着岁月
又蹉跎了自我, 前方迷途太多
坚持才能洒脱, 走出黑暗就能
逍遥又快活, 我寻找沙漠绿洲
出现海市蜃楼, 我仿佛看到
她在那里等候, 想起了她的温柔
滚烫着我的胸口, 迷失在昨夜的
那壶老酒, 我穿上大头皮鞋
跨过凛冽荒野, 我仿佛穿越到
另一个世界, 阿拉丁神灯要倾斜
天堂地狱已然重叠, 突然之间
飞来一只蝴蝶, 什么鬼魅传说
什么魑魅魍魉妖魔, 只有那鹭鹰
在幽幽的高歌, 漫天黄沙掠过
走遍每个角落, 行走在无尽的
苍茫星河, 白天黑夜交错
如此妖娆婀娜, 蹉跎着岁月
又蹉跎了自我, 前方迷途太多
坚持才能洒脱, 走出黑暗就能
逍遥又快活, 我已坠入在
这神奇的国度, 驼铃相伴
走向圣堂之路, 原谅我曾经
恍惚陷入迷途, 遮住了眼眸
湮没了意图, 怎能被这样征服
什么鬼魅传说, 什么魑魅魍魉妖魔
只有那鹭鹰, 在幽幽的高歌
漫天黄沙掠过, 走遍每个角落
行走在无尽的, 苍茫星河
白天黑夜交错, 如此妖娆婀娜
蹉跎着岁月, 又蹉跎了自我
前方迷途太多, 坚持才能洒脱
走出黑暗就能, 逍遥又快活
梦里回到最初, 浪潮起起伏伏
彷徨着未来, 又彷徨着孤独
漫长人生旅途, 花开花落无数
沸腾的时光, 怎能被荒芜
清晨又到日暮, 天边飞鸟群逐
摇曳着苍穹, 又描摹着黄土
东方鱼肚白出, 烈日绽放吐露
放下尘浮, 我已踏上归途

扩展资料:
《沙漠骆驼》,由展展与罗罗(施展、罗中凯)作词、作曲并演唱的歌曲,发行于2017年6月19日,后收录于展展与罗罗2018年12月19日发行的专辑《我的舞台》。
2018年11月29日,展展与罗罗凭借该曲获得2018亚洲音乐盛典最佳原创组合奖。2018年10月21日,获得酷狗音乐单曲畅销榜9月榜季军。
整首歌曲旋律欢快,歌词却又蕴含深意,带点异域风情,充满着潇洒自由的味道。曲风复古、旋律高亢,运用了许多音乐元素,和声很独特。该曲所具有的豪迈感觉让在现实生活压力下的听众感受到自由,唱出了爱情的挣扎,生活的焦虑和人生的迷茫。
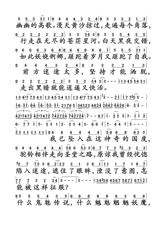
歌曲简谱1:

歌曲简谱2:

歌曲简谱3:

歌曲简谱4:

展展与罗罗 沙漠骆驼 歌词:
我要穿越这片沙漠
找寻真的自我
身边只有一匹骆驼陪我
这片风儿吹过
那片云儿飘过
突然之间出现爱的小河
我跨上沙漠之舟
背上烟斗和沙漏
手里还握着一壶烈酒
漫长古道悠悠
说不尽喜怒哀愁
只有那骆驼奔忙依旧
什么鬼魅传说
什么魑魅魍魉妖魔
只有那鹭鹰在幽幽的高歌
漫天黄沙掠过
走遍每个角落
行走在无尽的苍茫星河
白天黑夜交错
如此妖娆婀娜
蹉跎着岁月又蹉跎了自我
前方迷途太多
坚持才能洒脱
走出黑暗就能逍遥又快活
我寻找沙漠绿洲
出现海市蜃楼
我仿佛看到她在那里等候
想起了她的温柔
滚烫着我的胸口
迷失在昨夜的那壶老酒
我穿上大头皮鞋
跨过凛冽荒野
我仿佛穿越到另一个世界
阿拉丁神灯要倾斜
天堂地狱已然重叠
突然之间飞来一只蝴蝶
什么鬼魅传说
什么魑魅魍魉妖魔
只有那鹭鹰在幽幽的高歌
漫天黄沙掠过
走遍每个角落
行走在无尽的苍茫星河
白天黑夜交错
如此妖娆婀娜
蹉跎着岁月又蹉跎了自我
前方迷途太多
坚持才能洒脱
走出黑暗就能逍遥又快活
我已坠入在这神奇的国度
驼铃相伴走向圣堂之路
原谅我曾经恍惚陷入迷途
遮住了眼眸
湮没了意图
怎能被这样征服
什么鬼魅传说
什么魑魅魍魉妖魔
只有那鹭鹰在幽幽的高歌
漫天黄沙掠过
走遍每个角落
行走在无尽的苍茫星河
白天黑夜交错
如此妖娆婀娜
蹉跎着岁月又蹉跎了自我
前方迷途太多
坚持才能洒脱
走出黑暗就能逍遥又快活
梦里回到最初
浪潮起起伏伏
彷徨着未来又彷徨着孤独
漫长人生旅途
花开花落无数
沸腾的时光怎能被荒芜
清晨又到日暮
天边飞鸟群逐
摇曳着苍穹又描摹着黄土
东方鱼肚白出
烈日绽放吐露
放下尘浮我已踏上归途
展展与罗罗 沙漠骆驼 歌词:
我要穿越这片沙漠
找寻真的自我
身边只有一匹骆驼陪我
这片风儿吹过
那片云儿飘过
突然之间出现爱的小河
我跨上沙漠之舟
背上烟斗和沙漏
手里还握着一壶烈酒
漫长古道悠悠
说不尽喜怒哀愁
只有那骆驼奔忙依旧
什么鬼魅传说
什么魑魅魍魉妖魔
只有那鹭鹰在幽幽的高歌
漫天黄沙掠过
走遍每个角落
行走在无尽的苍茫星河
白天黑夜交错
如此妖娆婀娜
蹉跎着岁月又蹉跎了自我
前方迷途太多
坚持才能洒脱
走出黑暗就能逍遥又快活
我寻找沙漠绿洲
出现海市蜃楼
我仿佛看到她在那里等候
想起了她的温柔
滚烫着我的胸口
迷失在昨夜的那壶老酒
我穿上大头皮鞋
跨过凛冽荒野
我仿佛穿越到另一个世界
阿拉丁神灯要倾斜
天堂地狱已然重叠
突然之间飞来一只蝴蝶
什么鬼魅传说
什么魑魅魍魉妖魔
只有那鹭鹰在幽幽的高歌
漫天黄沙掠过
走遍每个角落
行走在无尽的苍茫星河
白天黑夜交错
如此妖娆婀娜
蹉跎着岁月又蹉跎了自我
前方迷途太多
坚持才能洒脱
走出黑暗就能逍遥又快活
我已坠入在这神奇的国度
驼铃相伴走向圣堂之路
原谅我曾经恍惚陷入迷途
遮住了眼眸
湮没了意图
怎能被这样征服
什么鬼魅传说
什么魑魅魍魉妖魔
只有那鹭鹰在幽幽的高歌
漫天黄沙掠过
走遍每个角落
行走在无尽的苍茫星河
白天黑夜交错
如此妖娆婀娜
蹉跎着岁月又蹉跎了自我
前方迷途太多
坚持才能洒脱
走出黑暗就能逍遥又快活
梦里回到最初
浪潮起起伏伏
彷徨着未来又彷徨着孤独
漫长人生旅途
花开花落无数
沸腾的时光怎能被荒芜
清晨又到日暮
天边飞鸟群逐
摇曳着苍穹又描摹着黄土
东方鱼肚白出
烈日绽放吐露
放下尘浮我已踏上归途
展展与罗罗 沙漠骆驼 歌词:
我要穿越这片沙漠
找寻真的自我
身边只有一匹骆驼陪我
这片风儿吹过
那片云儿飘过
突然之间出现爱的小河
我跨上沙漠之舟
背上烟斗和沙漏
手里还握着一壶烈酒
漫长古道悠悠
说不尽喜怒哀愁
只有那骆驼奔忙依旧
什么鬼魅传说
什么魑魅魍魉妖魔
只有那鹭鹰在幽幽的高歌
漫天黄沙掠过
走遍每个角落
行走在无尽的苍茫星河
白天黑夜交错
如此妖娆婀娜
蹉跎着岁月又蹉跎了自我
前方迷途太多
坚持才能洒脱
走出黑暗就能逍遥又快活
我寻找沙漠绿洲
出现海市蜃楼
我仿佛看到她在那里等候
想起了她的温柔
滚烫着我的胸口
迷失在昨夜的那壶老酒
我穿上大头皮鞋
跨过凛冽荒野
我仿佛穿越到另一个世界
阿拉丁神灯要倾斜
天堂地狱已然重叠
突然之间飞来一只蝴蝶
什么鬼魅传说
什么魑魅魍魉妖魔
只有那鹭鹰在幽幽的高歌
漫天黄沙掠过
走遍每个角落
行走在无尽的苍茫星河
白天黑夜交错
如此妖娆婀娜
蹉跎着岁月又蹉跎了自我
前方迷途太多
坚持才能洒脱
走出黑暗就能逍遥又快活
我已坠入在这神奇的国度
驼铃相伴走向圣堂之路
原谅我曾经恍惚陷入迷途
遮住了眼眸
湮没了意图
怎能被这样征服
什么鬼魅传说
什么魑魅魍魉妖魔
只有那鹭鹰在幽幽的高歌
漫天黄沙掠过
走遍每个角落
行走在无尽的苍茫星河
白天黑夜交错
如此妖娆婀娜
蹉跎着岁月又蹉跎了自我
前方迷途太多
坚持才能洒脱
走出黑暗就能逍遥又快活
梦里回到最初
浪潮起起伏伏
彷徨着未来又彷徨着孤独
漫长人生旅途
花开花落无数
沸腾的时光怎能被荒芜
清晨又到日暮
天边飞鸟群逐
摇曳着苍穹又描摹着黄土
东方鱼肚白出
烈日绽放吐露
放下尘浮我已踏上归途
